UBP1700

(HB8172)

Certificate of Analysis

Latest Certificate of Analysis

Download the latest CoA for this product:

Download CoA

Download Batch-Specific CoA

To download the CoA for a batch, enter the batch ID below:

Technical documents: CoA SDS Datasheet

Product overview

Name UBP1700
Alternative names UBP 1700
Purity >95%
Description

Highly potent, selective GluN2C/2D NMDAR antagonist

Write Your Own Review
You're reviewing:UBP1700
Rate this item:

Images

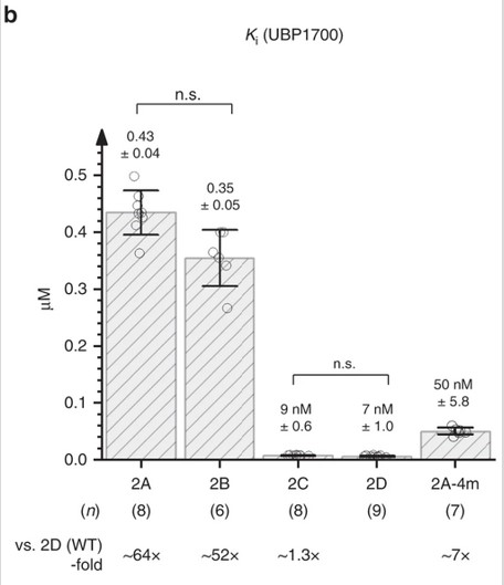
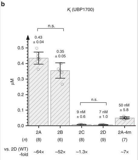
Figure 1. Ki values for UBP1700 at GluN2 subunits

Biological Data

Biological description

Highly potent and selective GluN2C/2D NMDAR antagonist (Ki values are 9 nM and 7 nM at GluN2C and GluN2D respectively). PPDA derivative. UBP1700 is one of the most potent GluN2 antagonists reported to date which shows ~50 to 60 fold selectivity for GluN2C/2D over GluN2A and ~40 to 50 fold selectivity for GluN2C/2D over GluN2B subunits. UBP1700 displays similar selectivity for GluN2C/2D as QNZ46 and DQP-1105 but has higher potency, thus is likely to inhibit receptors more effectively than these compounds where Glu2D-containing NMDARs are located (e.g. peri- and extrasynaptic spaces).

Solubility & Handling

Storage instructions Room temperature
Solubility overview

Soluble in DMSO (100 mM), in water with 1eq NaOH (50 mM) and in basic aqueous buffer (50 mM)

Important This product is for RESEARCH USE ONLY and is not intended for therapeutic or diagnostic use. Not for human or veterinary use

Calculators

Molarity

=
x
x
More Info

Dilution

x
=
x
More Info

Chemical Data

Purity >95%
Chemical name

3-{8-[(E)-2-carboxyethenyl]naphthoyl}piperazine-2,3-dicarboxylic acid

Molecular Weight 448.4248
Chemical structure UBP 1700 Chemical Structure
Molecular Formula C24H20N2O7
SMILES O=C(c2cc3ccc1cc(/C=C/C(=O)O)ccc1c3cc2)N4CCNC(C(=O)O)C4C(=O)O
InChi InChI=1S/C24H20N2O7/c27-19(28)8-2-13-1-6-17-14(11-13)3-4-15-12-16(5-7-18(15)17)22(29)26-10-9-25-20(23(30)31)21(26)24(32)33/h1-8,11-12,20-21,25H,9-10H2,(H,27,28)(H,30,31)(H,32,33)/b8-2+
InChiKey INDGTGVUFQRYLI-KRXBUXKQSA-N
Appearance Off-white solid

References for UBP1700

References are publications that support the biological activity of the product
  • Structural basis of subtype-selective competitive antagonism for GluN2C/2D-containing NMDA receptors.

    Wang JX et al (2020) Nature communications 11 : 423

1 Item